От чего зависит НС
Несущая способность позволяет правильно задать площадь опоры строения на грунт. Понятно, что, чем хуже почва выдерживает давление, тем больше будет площадь фундамента, или тем больше будет сечение ж/б свай.
Характеристики НС – это параметры грунта, и они зависят от его структуры (типа), плотности и влажности. На практике большую роль играет влажность. Насыщенность почвы влагой зависит от уровня грунтовых вод; с увеличением влажности НС снижается в разы.
Снижение качества почвы происходит не всегда: избыточная влажность никак не ухудшает характеристики средне- и крупнозернистого песка. Значение плотности также определяет уровень несущей способности и строительные перспективы данной территории.

Результат осадки фундаментаИсточник comments.ua
С увеличением глубины плотность грунта повышается благодаря давлению вышележащих слоев. Поэтому при использовании свайного фундамента хватит и несущей способности песка в том случае, когда сваи будут опираться на глубокий плотный пласт.
Классификация грунтов
- глина и ее подвиды;
- суглинки;
- супеси;
- пески разных фракций.

Определить, что находится под плодородным слоем почвы, можно самостоятельно, без экспертизы.
Как определить тип грунта самостоятельно
За много веков строители придумали несколько способов, как определить вид грунта. Рассмотрим самый простой. Дедовский.
По углам дома и посередине копаются ямы на глубину предполагаемого заложения фундамента. Со дна каждого шурфа берется грунт и выкладывается отдельной горкой на ровную поверхность. Дальше все по заранее разработанному алгоритму: грунт смачивается до состояния, когда из него можно скатать шар, а из него раскатать шнур. Результаты такой работы могут быть следующие:
- при попытке получить шнур, шар распался на множество частей – песок;
- пробует скататься, но сразу же, рассыпается – супесь;
- шнур дробится при раскатывании – легкий суглинок;
- шнур получили сплошной, но в кольцо его свернуть не получилось – средний суглинок;
- шнур получили и смогли свернуть в кольцо. Но на внешней стороне окружности много трещин – тяжелый суглинок;
- получили ровное, красивое кольцо – глина.
Для наглядности приводим иллюстрирующие процесс рисунки:

Дальше просто. Зная вид грунта можно по таблицам рассчитать площадь подошвы фундамента.
Искусственное снижение удельного сопротивления грунта
Общее сопротивление заземления зависит от сопротивления прилегающих к заземлителю слоев грунта. Поэтому можно добиться снижения сопротивления заземления понижением удельного сопротивления грунта лишь в небольшой области вокруг заземлителя. Искусственное снижение удельного сопротивления грунта достигается либо химическим путем при помощи электролитов, либо путем укладки заземлителей в котлованы с насыпным углем, коксом, глиной
Опыт показал, что максимальное уменьшение сопротивления заземления достигается при использовании электролитов, древесного угля и коксовой мелочи. Первый способ заключается в том, что вокруг заземлителей грунт пропитывается растворами хлористого натрия (обыкновенной поваренной соли), хлористого кальция, сернокислой меди (медного купороса) и т. д. Следует отметить, что указанным способом можно добиться сравнительно большого снижения величины сопротивления заземления,. однако на непродолжительный срок (2—4 года), после чего требуется вновь пропитывать грунт электролитом.
Практически можно рекомендовать следующие два способа искусственного снижения удельного сопротивления грунта: создание вокруг заземлителя зоны с пониженным удельным сопротивлением и обработка грунта солью.
Для создания вокруг заземлителя зоны с пониженным удельным сопротивлением в грунте делается выемка (котлован) радиусом 1,5—2,0 м и глубиной, равной длине забиваемого стержня. После заполнения выемки грунтом устанавливается заземлитель и грунт утрамбовывается. В качестве грунта-заполнителя может быть применен любой грунт, имеющий удельное сопротивление в 5—10 раз меньше, чем удельное сопротивление основного грунта.
Например, если заземление устраивается в песчаном или каменистом (гранит) грунте, то заполнителями могут быть, глина, торф, чернозем, суглинок, шлак и т. п. Таким способом достигается снижение сопротивления заземления в среднем в 2,5—3 раза.
https://kalk.pro/concrete-base/ground-resistance-of-the-base/
http://thegrounding.ru/udelnoe_soprotivlenie.shtml
https://lemzspb.ru/soprotivleniye-rastekaniyu-toka-gruntov/
Заказ испытаний свай и обследования фундаментов
Компания “Установка Свай” предлагает услуги по обследованию фундаментов и проведению испытаний железобетонных свай статическим и динамическим методом. Данные испытания, проводимые в полевых условиях, позволяют узнать фактическую несущую способность сваи, что дает возможность составить максимально точный проект фундамента.
Также мы выполняем работы по погружению железобетонных и винтовых свай. Мы готовы обустроить свайный фундамент под ключ, взяв на себя выполнение всего спектра работ – от поставки высококачественных свай до сдачи полноценного свайного поля. Все работы мы выполняем быстро, качественно и не дорого. Звоните нам по контактным телефонам, либо воспользуйтесь формой “Отправить заявку”, и мы предложим вам лучшие условия сотрудничества!
Несущие способности глинистых и песчаных грунтов по СНиП
На ощупь легко отличить глину и песок. В чистом песке отчетливо видны песчинки, они же прощупываются при растирании. В песках крупной фракции частицы достигают размера 0,25 – 5 мм, средней — 2 мм. В супеси присутствует до 10% глины, сухая порода крошится, а скатанный шарик рассыпается в пыль. Суглинок включает 10 – 30% глины и является пластичным по сравнению с супесью. Наиболее пластичной выступает глина, при этом скатанный шарик при надавливании становится лепешкой без трещин по краям.

Глина склонна к пучению, поэтому может вытолкнуть фундамент и привести к его разрушению
В СНиП приводится такая нормативная несущая способность почвенных слоев в кг/см²:
- гравелистый песок крупной фракции — плотный 6, среднеплотный 5;
- средняя фракция песка по крупности — 5 и 4, соответственно;
- мелкий сухой песок — 4 и 3;
- мелкий влажный песок — 3 и 2;
- сухая супесь — 3 и 2,5;
- влажные и пластичные супеси — 2,5 и 2;
- сухие суглинки — 3 и 2;
- влажные суглинки — 3 и 1;
- сухая глина — 6 и 2,5;
- пластичные глины — 4 и 1.
Скалистые породы являются камнем, который сопротивляется влаге и замерзанию. Такие грунты могут служить фундаментом для частных строений, если они возводятся в соответствующей области. Пески промерзают на меньшую глубину, чем влагонасыщенные слои, т.к. не накапливают влагу, а проводят ее. Они отлично уплотняются методом трамбовки и предотвращают намокание опор.
Глины разжижаются во влажной среде и промерзают на значительную глубину, поэтому вспучиваются и выталкивают фундамент вверх. Супеси ведут себя при намокании и промерзании в зависимости от процентного содержания песчаных или глиняных вкраплений.
Решение
Эксцентриситет приложения нагрузки:
e = M/Fv = 60/260 = 0,23 м.
Приведенная ширина фундамента по формуле:
b’ = b — 2eb = 1,8 — 2× 0,23 = 1,34 м.
Приведенная длина фундамента по формуле: l’ = l = 0,9 м.
Отношение приведенной длины фундамента к его проведенной ширине:
η = l’/ b’ = 0,9 / 1,34 = 0,67.
при η < 1 для расчета коэффициент принимается η = 1.
Коэффициент ξγ по формуле: ξγ = 1 — 0,25/η = 1 — 0,25/1,0 = 0,75.
Коэффициент ξq по формуле: ξq = 1 + 1,5/η = 1 + 1,5/1,0 = 2,5.
Коэффициент ξc по формуле: ξc = 1 + 0,3/η = 1 + 0,3/1,0 = 1,3.
Проверка условия: tg δ < sim φ1; 0,27 < 0,34 — условие выполнено, следовательно, возможно вести дальнейший расчет по формуле.
Коэффициент Nγ = 0,82.
Коэффициент Nq = 3,64.
Коэффициент Nc = 7,26.
Возведение свайно-винтового фундамента на болоте
Ещё на этапе планирования дома и, соответственно, выбора типа фундамента, необходимо провести пробное завинчивание, которое даст необходимые сведения о требуемой длине свай. Толщина свай и шаг их размещения определяется в соответствии с предполагаемыми нагрузками, но в среднем диаметр винтовых свай может варьироваться от 57 до 133 мм, а расстояние между ними составлять от 1,5 до 2,5 м. Глубина погружения, как правило, составляет от 1,5 м и больше. Технологию возведения свайно-винтового фундамента можно разделить на следующие этапы:
Разметка участка. Чем больше и тяжелее будет дом, тем больше понадобится соответствующих размеров опор. Размечают участок в соответствии с составленным ранее планом, для чего можно использовать деревянные колышки
Важно правильно выбрать шаг размещения свай, а также учесть тот факт, что несущие стены дома должны обязательно опираться на сваи. Вкручивание свай. После того как площадка размечена, приступают к вкручиванию опор
После того как площадка размечена, приступают к вкручиванию опор
Вкручивание свай. После того как площадка размечена, приступают к вкручиванию опор
Для увеличения несущей способности фундамента, сваи закручивают до тех пор, пока не будет чувствоваться явное сопротивление вкручиванию, поэтому длина опор должна быть взята с запасом. Следует отметить, что эта точка сопротивления может быть различной на участке, поэтому глубина завинчивания свай также будет неидентичной. По окончании вкручивания всех свай, приступают к их обрезке в один уровень при помощи болгарки с дисками по металлу. Данный этап строительства фундамента, несмотря на кажущуюся трудоёмкость работ, довольно легко выполняется за 1−2 дня;
Бетонирование. Для увеличения жёсткости и прочности фундамента на болоте внутрь опор заливают бетонный раствор;
Приваривание оголовков. Оголовки представляют собой некие площадки диаметром, в два раза превышающим диаметр опор. При помощи сварочного аппарата данные элементы привариваются. Во избежание образования коррозийных процессов все сварочные швы обрабатываются краской на эпоксидной основе.
На этом возведение свайно-винтового фундамента окончено. Ещё одним преимуществом применения именно этого типа фундамента является отсутствие периода усадки, что позволяет приступить к следующему этапу строительства уже на следующий день. В некоторых случаях вместо оголовков используют швеллер, которым, так сказать, обвязывают все установленные сваи.
Возведение фундамента на болоте хоть и относится к одному из наиболее сложных и трудоёмких строительных этапов, не является невыполнимой задачей. Поэтому при правильном подходе, грамотном проведении всех расчётов и исследований, а также соблюдении технологических требований, проблем даже на такой неустойчивой почве возникнуть не должно.
Расчет площади подошвы
Важное место в проектировании основания для будущей постройки занимает расчет площади подошвы. Данный этап работы проводится по формуле, представленной на рисунке ниже
Полученное в результате вычислений значение – примерная общая площадь подошвы фундамента, необходимая для того, чтобы буквально под нагрузкой не продавить грунт. Если речь идет о строительстве самого дорогостоящего – плитного фундамента (в статье про расчет арматуры вы оцените, насколько «экономично» данное решение), то можно и вовсе избежать этих расчетов, ведь достаточно залить плиту под всей площадью дома, а такой подошвы с избытком хватит для предупреждения всех сюрпризов, которые преподносит грунт.

Каждый тип грунта, в зависимости от глубины заложения, плотности и пористости, обладает своими показателями сопротивления нагрузкам. Само собой разумеется, что пласты почвы на большой глубине в результате естественной прессовки отличаются большими значениями сопротивления. Так, если вы планируете строить фундамент на глубину меньше 1,5 м, то расчетное сопротивление грунта примет несколько иное значение. В этом случае оно будет рассчитываться по формуле: R=0,005R0(100+h/3), где R0 – табличное значение расчетного сопротивления, h – глубина фундамента относительно нулевой отметки, см. В свою очередь, многое зависит от грунтовых вод, ведь повышенная влажность грунта уменьшает его сопротивление нагрузке.

Естественно, что при самостоятельном расчете придется повозиться над вычислением нагрузки от возводимой конструкции, которая будет оказываться на пласты грунта под подошвой фундамента. Сюда включается:
- суммарная нагрузка от сооружения, в том числе и примерная – от фундамента (используются данные таблицы, представленной на рисунке ниже);
- нагрузка от объектов, которые будут размещены в постройке (камины, мебель, люди);
- вес сезонных нагрузок от снежного покрова. Для средней полосы принимается равным 100 кг на кв. м кровли, для южной – 50 кг, для северной – 190 кг.

Полученное в результате вычислений значение площади подошвы фундамента используется при составлении проекта фундамента: выборе ширины ленты (для ленточного монолитного основания) или площади опоры (для столбчатого, свайного типов фундаментов). Рассмотрим конкретный пример расчета для каменного дома 6×8 м. О том, как подбирается арматура для фундамента, пойдет речь уже в отдельной статье.
Пример расчета фундамента
Предположим, что мы строим двухэтажный каменный дом 6 × 8 м, проект которого предусматривает в том числе одну внутреннюю несущую стену. Масса дома с учетом всех нагрузок получилась равной 160 000 кг. Грунт – влажная глина (расчетное сопротивление – 6 кг/см²). Коэффициент условий – 1. Коэффициент надежности – 1,2. Подставляем все значения в формулу расчета площади подошвы:
S = 1,2 × 160000 / (1 × 6) = 32 000 см² = 3,2 м²
Для ленточного фундамента: при общей длине ленты примерно (6+8) × 2 + 6 (внутренняя стена) = 34 м минимальная ширина ленты составит 3,2 / 34 = 0,1 м. Это минимальное значение!
Если рассматривать фундамент для легкого деревянного дома при условии, что минимальная площадь подошвы получилась равной 1 м², то для возведения свайного фундамента (площадь основания каждой сваи принимается равным 0,07 м², при условии, что нижняя часть сваи в диаметре – 0,3 м) потребуется:
1 / 0,07 = 15 свай
Как определить, достаточна ли выбранная площадь фундамента
Чтобы понять, выдержит ли земля вес конкретной постройки (достаточна ли площадь фундамента), проделывают следующие операции:
- Определяют тип почвы, по таблицам находят его несущую способность.
- Определяют общую массу дома: фундамента, стен и перегородок, кровли. Данные модно взять из проекта, если уже выбран материал стен и других конструкций. Нельзя забыть вес несущих конструкций, и даже будущей обстановки.
- Итоговую массу делят на НС (сопротивляемость), можно взять приблизительное значение.
Если в процессе вычислений оказалось, что НС недостаточная для такой постройки, необходимо принимать меры. Чаще всего решают увеличить площадь ленточного фундамента; иногда выбирают практичное решение: заливают монолитную плиту на ленте.

Закладка фундаментаИсточник tvoystroy.ru
О методе расчетов НС в следующем видео:
Используемые приборы
Решение возводить здание на уже существующем основании, которое простояло без нагрузки больше года, должно подкрепляться техническим обследованием железобетонного фундамента на предмет возникновения дефектов и определением его несущей способности.

Рис. 1.1: ОНИКС-ОС – прибор для измерения прочности бетона методом отрыва со скалыванием
Техническое обследование фундамента здания состоит из нескольких этапов, которые выполняются в следующей последовательности:
- Специалисты изучают проект фундамента и существующую исполнительную документацию по его возведению. Также анализируется геодезическая документация по состоянию грунтов на строительной площадке;
- Производится визуальный осмотр поверхностных элементов фундамента с целью выявления видимых дефектов;
- Производится инструментальное обследование фундамента – определяется прочность конструкции с помощью приборов неразрушающего (ультразвуковой, склерометрический анализ) и разрушающего действия, после чего дается оценка исправности и возможности дальнейшей эксплуатации фундамента;
- Собираются все нагрузки на фундамент, в число которых входит проектная масса здания, вес снегового покрова, давления ветра и полезная нагрузка на сооружение, которое планируется возводить на уже существующем фундаменте;
- Нагрузки на фундамент сопоставляются с силой сопротивления грунта строительной площадке, на основе чего делается вывод о достаточности несущей способности либо необходимости усиления фундамента.
Важно: инструментальное обследование фундамента требует вскрытия контактирующих с основанием грунтов. Для анализа ленточных фундаментов разрабатываются несколько выемок по его периметру так, чтобы обеспечивался доступ к опорной подошве фундамента
При работе со свайными фундаментами убираются грунты у ростверка и оголовков свай.

Рис. 1.2: Ультразвуковой измеритель прочности бетона Пульсар 2.1
Для определения геометрических параметров (слоя защитного бетона, расположения арматуры, ее класса и диаметра) железобетонных фундаментов используются приборы ультразвукового контроля по типу ИДС-1, ИЗС-10Ц , Пульсар 2.1 которые выполняют неразрушающий анализ конструкции. Наличие микротрещин в толще бетона определяется склерометром ИПС-МГ4.03. Оценка прочностных характеристик фундамента выполняется с использованием прибора разрушающего контроля – ОНИКС-ОС, который функционирует по методу отрыва со скалыванием, фиксируя усилие, необходимое для деформации бетона.
Как определяется несущая способность грунтов?
Несущая способность грунтов — это одна из его основных характеристик, которую необходимо знать при строительстве дома, она показывает какую нагрузку может выдержать единица площади грунта и измеряется в кг/см2 или т/м2.
Зачем нужна несущая способность грунтов?
По несущей способности грунта определяют, какой должна быть опорная площадь фундамента дома: чем хуже способность грунта выдерживать нагрузку, тем больше должна быть площадь фундамента. Сама несущая способность грунта зависит от трех факторов: тип грунта, степень его уплотненности и насыщенность грунта влагой. Увеличение влажности грунта снижает его несущую способность в несколько раз. Только крупные пески и пески средней крупности не меняют своих свойств при увеличении влажности. Избыточная влажность грунта, скорее всего, связана с высоким уровнем грунтовых вод.
Чтобы узнать несущую способность грунта не обязательно обращаться за помощью к геологам, в случае самостоятельного строительства дома можно определить тип грунта на глаз. Для этого простым земляным буром можно пробурить в земле скважину глубиной 2 м или выкопать яму лопатой. При этом сразу будет понятно, какой грунт находится на этой глубине и насколько он увлажнен. Далее по типу и увлажненности грунта определить его несущую способность.
Основные виды грунтов
На территории нашей страны в основном преобладают песчаные и глинистые грунты, за исключением болотистой местности с просадочными торфяными грунтами , а также горных хребтов и возвышенностей со скальными грунтами.
Отличить песок от глины не составляет труда: в песке ясно видны отдельные песчинки, при растирании песчаного грунта меду ладонями они отчетливо чувствуются. Крупный песок имеет размер частиц от 0,25 до 5 мм, такие частицы хорошо видны невооруженным глазом, а песок средней плотности имеет размер песчинок до 2 мм. Супесь содержит 3-10% глинистых частиц, в сухом состоянии она крошится, если скатать из нее шарик, то он рассыпается при легком давлении на него. Суглинок содержит от 10% — 30% глинистых частиц, обладает большей пластичностью, чем супесь. Если из суглинка сделать шар и раздавить его, то он превращается в лепешку с трещинами по краям. Глина – наиболее пластичный грунт, содержит более 30% глинистых частиц ,если раздавить шар, сделанный из глины, то он превратится в лепешку, на краях которой не будет трещин.
Как определить вид грунта?
- Исследуемый образец грунта укладываем в стеклянную банку на ¼ её высоты;
- Доливаем в банку воды до уровня ¾ высоты;
- Добавляем в воду 1 чайную ложку средства для мытья посуды; закрываем банку крышкой и встряхиваем содержимое в течение 10 минут. За это время образец грунта разделится на составляющие; банку ставим и через 1 минуту отмечаем на ней маркером уровень песка, который осел на дне;
- Уровень ила отмечаем через 2 часа;
- Ждем пока вода станет прозрачной и отмечаем уровень слоя глины.
- Процесс осадки глины достаточно длительный и может занять от 2 до 7 дней;
- Находим толщину слоя песка, ила и глины. Например: уровень песка через 1 минуту составил 6 см, уровень ила 7 см от дна банки, уровень глины 10 см от дна банки. Тогда: толщина слоя песка 6 см, толщина слоя ила 1 см (7-6=1), толщина слоя глины 3 см (10-7=3), а общая толщина осадка 10 см;
- Вычисляем относительную величину каждого вида осадка (в процентах): толщину слоя песка/ила/глины делим на общую толщину осадка, затем умножаем на 100 процентов: 6/10*100% =60% — содержание песка в %;
1/10*100%=10% — содержание ила (пыли) в %;
3/10*100%=30% — содержание глины в %.
Расчетное сопротивление грунта на разной глубине
Величины расчетного сопротивления грунтов (R0), приведенные ниже , даны для глубины заложения фундамента 1,5…2 м.
Если глубина заложения фундамента меньше чем 1,5 м. то расчетное сопротивление грунта (Rh) определяется по формуле: Rh = 0,005R0(100 +h/3), где h — глубина заложения фундамента в см.
Пример 1 Глинистый грунт на глубине 0,5 м при R0=4 кг/см2 будет иметь расчетное сопротивление грунта Rh = 2,33 кг/см2. Если глубина заложения фундамента больше чем 2 м. то расчетное сопротивление грунта (Rh) определяется по формуле: Rh = R0 + kg(h — 200), где h — глубина заложения фундамента в см, g — вес столба грунта, расположенного выше глубины заложения фундамента (кг/см2); к — коэффициент грунта (для песка — 0,25; для супеси и суглинка — 0,20; для глины — 0,15).
Пример 2 Глинистый грунт на глубине 3 м при R0=4 кг/см2 будет иметь расчетное сопротивление Rh = 10,3 кг/см2. Удельный вес глины — 1,4 кг/см2, а вес столба глины высотой 300 см — 0,42 кг/см2.
О физическом смысле
Несущая способность (НС) того или иного грунта показывает, какую нагрузку он способен выдержать, сохраняя свою первоначальную структуру. Единицами измерения могут быть три величины:
- Ньютоны на кв. см, Н/см².
- Мегапаскали, МПа.
- Килограмм-сила на 1 кв. см, кгс/см².
Данные о НС разных почв оформляются в виде таблиц следующего содержания:
- Средние НС различных по структуре почв, кгс/см².
- Допустимое давление на грунт, кг/см².
- Расчетное сопротивление разных почв, кгс/см². Расчетное сопротивление – это, фактически, другое название для НС.
Знание НС и возможной максимальной нагрузки используется для выбора типа фундамента, возможность закладки подвала, обустройства цокольного этажа.

Расчетное сопротивление грунтовИсточник tildacdn.com
Расчет фундамента
Все предыдущие расчеты делались с одной целью: показать принцип расчета несущей способности грунтов под основанием дома. Над массой дома не будем ломать голову, а просто возьмем 97 т.
Ленточный фундамент
Для расчета ленточного фундамента нужно знать длину и ширину дома, а также толщину ленты. В нашем случае берем:
- длина – 10 м;
- ширина – 8 м;
- толщина фундаментной ленты – 30 см (фундамент должен быть больше стены на 100 мм).
Тогда площадь опоры фундамента составит 108 000 см2 (1000 см+800 см)*2*30 см, а нагрузка на грунт 0,898 кг/см2 (97000/108000). Это больше, чем давлю я и меньше чем автомобиль. Получается, что если собрать дом прямо на земле, он не провалится, а будет стоять.
Плитный фундамент
А если взять не привычный всем ленточный фундамент, а плитный. Выкопали под домом котлован и залили сплошную бетонную плиту толщиной 10 см. Это увеличит массу дома примерно на 5 т. В итоге на грунт будет давить 102 т, равномерно распределенные на площади 800 000 см2. В этом случае нагрузка на грунт составит 0,127 кг/см2. Меньше, чем у меня.
Свайный
В рассмотренных выше случаях все понятно. А как быть с фундаментом из свай? Он по своей конструкции похож на груз, которому приделали иголки в качестве ног и поставили на вату.
Попробуем и здесь определить расчетное сопротивление грунта основанию дома из свай.
Исходные данные:
- вес дома 97 т;
- сваи квадратные со стороной 250х250 мм;
- количество – 40 штук.
Общая площадь свай – 25 000 см2 (25 см*25 см*40).
Получается, в результате расчета, что под нижним концом сваи давление на грунт составляет 3,88 кг/см2 (97000 кг/25 000 см2), что очень много. А как же другие дома на таком фундаменте? За счет чего они стоят? Что находится под сваей? Здесь мы плавно переходим к вопросу о разной несущей способности грунтов.
Какой фундамент подходит для глинистой почвы
Слои закладки фундамента для суглинистой почвы с гидроизоляцией.
После точного определения типа почвы на участке и глубины залегания грунтовых вод необходимо решить, какой фундамент можно будет возвести. Глинистая почва ограничивает в выборе основания дома, поэтому можно воспользоваться только двумя вариантами: построить ленточный или свайный фундамент. Какой именно выбрать, попытаемся выяснить далее.
Если грунт более или менее однородный, то для него подойдет ленточный фундамент, свайный применяется в тех случаях, когда в почве попадаются камни.
Построить фундамент на суглинках нелегко, но если вникнуть во все нюансы этой работы, сделать это возможно. При возведении фундамента на суглинке могут возникнуть такие проблемы, как обламывание, вспучивание и просадка конструкции. Чаще всего это происходит вследствие недостаточной глубины закладывания фундамента либо при большом давлении, которое может оказываться на него. Проблемы могут возникнуть у дома, фундамент которого был возведен на суглинке, если при его строительстве применялся мелкий камень, либо стены были построены из пеноблоков.
Схема ленточного фундамента для глинистой почвы.
Чтобы избежать всех вышеописанных проблем, строительство дома должно сопровождаться выбором правильного типа фундамента. При этом блоки можно отсеять сразу же, так как в роли связующего элемента потребуется устройство армирующего каркаса. Низ основания должен быть шире, чем его верх. При возникновении опасений по поводу давления грунта, основание необходимо будет промазать машинным маслом или обернуть его поливинилхлоридной пленкой, которая не пропустит воду к фундаменту во время оттепели. Нелишним будет утеплить верхний слой земли, для чего можно использовать керамзит или щебень.
На выбор типа фундамента. который можно возвести на суглинке, также влияет материал, используемый при возведении стен дома. Если это будет кирпич, то свой выбор стоит остановить на ленточном фундаменте, который способен выдержать большую нагрузку.
Если же планируется строительство сарая или летней теплицы, то лучше выбрать свайный фундамент, который способен обеспечить необходимую степень монументальности возводимого строения.
На глинах и суглинках также можно использовать основания в виде монолитной плиты, которую обязательно устанавливают на песчаную подушку. Его преимущество заключается в плавучести, а значит он легко выдерживает любые движения грунта. Еще одним плюсом монолитного фундамента является отсутствие необходимости проведения глобальных земельных работ.
Характеристики оснований строительных сооружений
Кроме определения опорных характеристик базового уровня, необходимо принять во внимание риски могущие привести к деформации здания. Для этого проверяют грунт по следующим параметрам:
плотность – определяется трудностью взятия образца;текучесть, чем легче прилипает почва к инструменту и дольше держится, тем более высока текучесть;пористость, определяют сравнением объемов измельченной породы и не измельченной;способности к набуханию, изменение объема и формы при намачивании, показывает склонность к просадкам;пучинистость, под влиянием низкой температуры в структуре образуются кристаллы льда, ведущие к изменению объема и формы почвы;способности к проседанию, возможность вертикального сдвига под действием массы при изменении физических свойств почвы
плотность – определяется трудностью взятия образца;текучесть, чем легче прилипает почва к инструменту и дольше держится, тем более высока текучесть;пористость, определяют сравнением объемов измельченной породы и не измельченной;способности к набуханию, изменение объема и формы при намачивании, показывает склонность к просадкам;пучинистость, под влиянием низкой температуры в структуре образуются кристаллы льда, ведущие к изменению объема и формы почвы;способности к проседанию, возможность вертикального сдвига под действием массы при изменении физических свойств почвы.
Неспециалисту сложно точно определить строительные характеристики основания, поэтому в нормативных документах указываются минимальные значения параметров. Что позволяет избежать риска в процессе возведения зданий и повысить запас прочности строения.
Расчет фундамента зданий производят на основании:
типа грунта (природный или искусственный);размеров, конструкции и материала фундамента;
Расчет должен учитывать два предельных состояния основания, это:
несущая способность фундамента;деформационные процессы.
Используя калькулятор по расчету несущей способности земляного слоя, можно определить уровень сопротивления почвы вертикальным нагрузкам. Чем крупнее частицы, составляющие основание, тем выше несущие способности базового уровня.
Таблица: Размеры и процентное отношение частиц грунта
Разновидности грунтаРазмеры частиц, ммСодержание частиц в %Глиняныйдо 0.002—Илистый органическийдо 0,01—Илистый неорганическийот 0,002 до 0,05—Песчаный, гравелистыйболее 2от 25Песчаный, крупныйболее 0,5от 50Песчаный, среднийболее 0,25от 50Песчаный, мелкийболее 0,1от 75Песчаный пылеватыйболее 0,1до 75Валунный, глыбовыйболее 200от 50Галечниковый, щебенистыйболее 10от 50Гравийный, дресвяныйболее 2от 50
Аналитическое определение расчетного сопротивления грунта
Вывод формулы расчетного сопротивления
Зависимость, которая представлена на рисунке 1, была получена Н. П. Пузыревским, и, как правило, называется его именем. Данная зависимость была преобразована в формулу в СП 22.13330 для определения расчетного сопротивления грунта по подошве фундамента, см. рисунок 2.
Рисунок 1. Начальная критическая нагрузка на грунт по формуле Н. П. Пузыревского
Рисунок 2. Формула расчетного сопротивления по СП 22.13330
Допущения для формулы расчетного сопротивления
Формула расчетного сопротивления имеет ряд допущений:
- При незначительном развитии зон пластических деформаций принимается линейная зависимость между деформациями и напряжениями;
- Формула выведена из решения плоской задачи, при которой напряжения будут зависеть только от координат x — y;
- В решении формулы заложен равный тензор напряжений от собственного веса грунта (гидростатическое давление), что не совпадает с действительностью.
Определение расчетного сопротивления грунта по СП 22.13330
По СП 22.13330.2016 расчет расчетного сопротивления относится к пункту 5.6. А пункт 5.6 — это расчет оснований по деформациям. Целью расчета оснований по деформациям является ограничение абсолютных или относительных перемещений пределами, при которых гарантируется нормальная эксплуатация сооружения и не снижается его долговечность
Важно понимать, что расчетное сопротивление — это проверка по II-ой группе предельных состояний, а не по I-ой.
Согласно пункту 5.6.6 — «расчет деформаций основания фундамента при среднем давлении под подошвой фундамента р, не превышающем расчетное сопротивление грунта R (см. 5.6.7), следует выполнять, применяя расчетную схему в виде линейно-деформируемого полупространства (см. 5.6.31) с условным ограничением глубины сжимаемой толщи Нс (см. 5.6.41)». Этот пункт означает, что величина расчетного сопротивления — это ограничение значения давления по подошве фундамента, при превышении которого нельзя считать осадку по пункту 5.6.31, то есть нельзя использовать метод послойного суммирования.
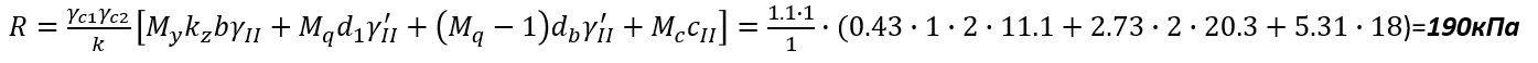
Было определено расчетное сопротивление ленточного фундамента без подвала с глубиной заложения 2 м, шириной подошвы 2 м, с опиранием в водонасыщенный грунт с углом внутреннего трения 18 градусов, с удельным сцеплением 10 кПа и с удельным весом 20.3 кН/м3 и 11.1 кН/м3 во взвешенном состоянии. По аналитическому расчету было получено значение расчетного сопротивления в 190 кПа.

Рисунок 3. Определение расчетного сопротивления аналитическим способом




































